DataWhale—PumpkinBook(TASK05决策树)

Source

课程开源地址及相关视频链接:(当然这里也希望大家支持一下正版西瓜书和南瓜书图书,支持文睿、秦州等等致力于开源生态建设的大佬✿✿ヽ(°▽°)ノ✿)

Datawhale-学用 AI,从此开始

【吃瓜教程】《机器学习公式详解》(南瓜书)与西瓜书公式推导_哔哩哔哩_bilibili

正文部分

决策树是一种有监督的机器学习算法,可用于解决分类和回归问题,是使用分支方法说明决策的所有可能结果的图,可理解为实现某一特定结果的决策,随机森林是基于树的机器学习算法,是随机创造的决策树组成的森林,该算法利用了多棵决策树来进行决策,是用于分类、回归和其他任务的集成学习方法,输出结果是将单个决策树的输出整合起来生成最后的输出结果。主要区别:

  • 输出结果不同
  • 复杂度不同

决策树的一些优点是

  • 易于理解和解释。树可以可视化。

  • 需要很少的数据准备。其他技术通常需要数据归一化,需要创建虚拟变量,并删除空白值。一些树和算法组合支持 缺失值

  • 使用树的成本(即预测数据)与用于训练树的数据点的数量的对数成正比。

  • 能够处理数值数据和分类数据。但是,scikit-learn 实现目前不支持分类变量。其他技术通常专门用于分析仅包含一种变量类型的数据集。有关更多信息,请参阅 算法

  • 能够处理多输出问题。

  • 使用白盒模型。如果在模型中观察到特定情况,则该条件的解释可以通过布尔逻辑轻松解释。相比之下,在黑盒模型(例如,在人工神经网络中),结果可能更难解释。

  • 可以使用统计检验来验证模型。这使得可以考虑模型的可靠性。

  • 即使其假设在一定程度上被生成数据的真实模型所违反,也能表现良好。

决策树的缺点包括

  • 决策树学习器可以创建过度复杂的树,这些树不能很好地概括数据。这被称为过拟合。为了避免这个问题,需要使用修剪、设置叶节点所需的最小样本数或设置树的最大深度等机制。

  • 决策树可能不稳定,因为数据中的微小变化可能会导致生成完全不同的树。这个问题可以通过在集成中使用决策树来缓解。

  • 决策树的预测既不平滑也不连续,而是如上图所示的分段常数逼近。因此,它们不擅长外推。

  • 学习最优决策树的问题在几个方面(包括最优性和简单概念)都是已知的 NP 完全问题。因此,实际的决策树学习算法基于启发式算法,例如贪婪算法,在每个节点上做出局部最优决策。此类算法不能保证返回全局最优决策树。这可以通过在集成学习器中训练多棵树来缓解,其中特征和样本是随机抽取并替换的。

  • 有一些概念很难学习,因为决策树不容易表达它们,例如 XOR、奇偶校验或多路复用器问题。

  • 如果某些类占主导地位,决策树学习器会创建有偏差的树。因此,建议在使用决策树拟合之前平衡数据集。

决策树算法的主要步骤

(1)选择最优属性(根节点)

决策树判断一个属性是不是当前数据集的最优属性,是依靠信息熵变化的程度来选择的。选择某个属性,依照这个属性的值,对训练集进行划分,划分后的子训练集的信息熵之和,相比未分割前的数据集信息熵,下降最多的,就是当前的最优属性。也就是说,根据这个属性,我们就可以对数据集进行很大程度上的区分,例如猫和狗之间用耳朵区分,非常快。

(2)生成决策树。(叶子节点的选择)

选取最优属性后,根据此属性的取值,对原始数据集划分,得到子数据集,再将每个子数据集当作完整数据集,迭代进行最优属性的选取,直到数据集中样本都是同一个分类标签时,决策树生成过程结束。

有时根据场景业务需求的不同,也不要求数据集分割到无法再分类的程度,而是指定迭代的次数,即决策树到第几层就不再分割了,直接把当前叶子数据集中数量最多的分类标签作为叶子节点。这是不同的停止规则。

而决策树的三种常见算法,则是根据选择最优属性时计算的信息熵函数不同划分的。ID3 是根据信息熵,C4.5是根据信息增益率。CART是采用了基尼Gini系数。

(3)剪枝(防止过拟合)

剪枝就是给决策树瘦身,这一步想实现的目标就是,不需要太多的判断,同样可以得到不错的结果。

之所以这么做,是为了防止“过拟合”(Overfitting)现象的发生。

过拟合:指的是模型的训练结果“太好了”,以至于在实际应用的过程中,会存在“死板”的情况,导致分类错误。

欠拟合:指的是模型的训练结果不理想。

数据集为:

input = [[0.697, 0.460, 1],
[0.774, 0.376, 1],
[0.634, 0.264, 1],
[0.608, 0.318, 1],
[0.556, 0.215, 1],
[0.403, 0.237, 1],
[0.481, 0.149, 1],
[0.437, 0.211, 1],
[0.666, 0.091, 0],
[0.243, 0.267, 0],
[0.245, 0.057, 0],
[0.343, 0.099, 0],
[0.639, 0.161, 0],
[0.657, 0.198, 0],
[0.360, 0.370, 0],
[0.593, 0.042, 0],
[0.719, 0.103, 0]]

pandas:决策树的构建涉及到数据集的一些操作,利用pandas的DataFrame数据结构可以很好方便的完成

copy :在递归时浅拷贝会导致问题,使用copy.deepcopy()进行深拷贝

matplot.pyplot:绘制决策树的划分图像

import pandas as pd
import copy
import matplotlib.pyplot as plt
import numpy as np
from math import fabs

定义回归树的节点类Node

attrList 节点剩下的属性列表

Dataset 节点划分到的数据集

left/right 左右子树

c 叶节点的预测值

description 该节点的描述(可选)

attr 该节点划分属性

s 划分属性的值

class Node:
    def __init__(self, description="", c = -1, Dataset=pd.DataFrame(), attrList=[]):
        self.attrList = attrList
        self.Dataset = Dataset
        self.left = None
        self.right = None
        self.c = c
        self.attr = ""
        self.s = -1
        self.desciption = description

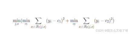
 损失函数计算:

def loss(attr, s, data):
    D1 = data[data[attr] <= s]
    D1_mean = D1['label'].std() * D1.size
    D2 = data[data[attr] > s]
    D2_mean = D2['label'].std() * D2.size
    return D1_mean + D2_mean

 

def findOptDiv(root):
    losses = []
    for attr in root.attrList:
        for s in root.Dataset[attr]:
            losses.append((loss(attr, s, root.Dataset), attr, s))
    minLoss = min(losses)
    return minLoss

二叉树的构建

在以下情况返回IF

len(attrList) == 0:此时所有属性已经划分完毕, 就以该集合所有样本的label的均值作预测值 Dataset.size == 1:此时该节点的样本仅有一个 就 以该样本的label值做预测值

ELSE 将样本按最优划分划分为两个集合D1,D2,并分别构建subTree

def buildTree(root):
    # if root.Dataset.size() <= 1:
    #     description = "leaf node"
    #     c_p = root.Dataset['label'].mean()
    #     leaf = Node(description=description, c = c_p) 
    
    # 如果样本集合中只有一个样本那么该节点为叶节点,该叶节点的预测值是该唯一样本的label
    if root.Dataset.size == 1:
        root.c = root.Dataset['label']
        return
    
    # 如果已经将属性分完了,那么该节点为叶节点,剩下的样本集中label的期望为该叶节点的预测值
    elif len(root.attrList) == 0:
        root.description = "leaf node"
        root.c = root.Dataset['label'].mean()
        return 
    
    else:
        # 找到最优化分
        (_, attr, s) = findOptDiv(root)
        
        # 将节点的划分属性设为找到的attr
        root.attr = copy.deepcopy(attr)
        
        # 将按属性attr划分该节点值划分值s设为最优的s
        root.s  = copy.deepcopy(s)
        
        # 将样本集合按照找到的最优化分划分为D1, D2
        D1 = copy.deepcopy(root.Dataset[root.Dataset[attr] <= s])
        D2 = copy.deepcopy(root.Dataset[root.Dataset[attr] > s])
        
        # 将划分该节点属性从属性集合中删除
        list_notremoved = copy.deepcopy(root.attrList)
        root.attrList.remove(attr)
        list_removed =  copy.deepcopy(root.attrList)
        root.attrList = copy.deepcopy(list_notremoved)

        # 构建左子树和右子树
        root.left = Node(Dataset = D1, attrList=copy.deepcopy(list_removed))
        root.right = Node(Dataset = D2, attrList=copy.deepcopy(list_removed))
        buildTree(root.left)
        buildTree(root.right)
    return root

可以大致看出决策过程

  • 先看含糖率:
    • 小于.13
      • 小于.666 坏瓜
      • 大于.666 好瓜
    • 大于.13
      • 小于.697 0.6的概率是好瓜
      • 大于.697 1的概率是好瓜

参考文献

算法——感知机详解(推导+证明)

数学基础-机器学习

 1.10. Decision Trees — scikit-learn 1.5.2 documentation